How do you derive the components of the inertial advective wind in natural coordinates?
The vector form of the inertial advective wind is:
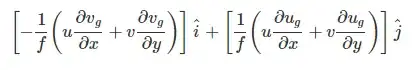
I have been able to find the components in cartesian coordinates as shown here:
I want to find the components in natural coordinates (such as shown below), but I have been unsuccessful so far.
Any help would be greatly appreciated! Thanks



Rochette 2006, "A primer of the ageostrophic wind," (http://citeseerx.ist.psu.edu/viewdoc/download?doi=10.1.1.663.2094&rep=rep1&type=pdf)
And the second equation comes from the Encyclopedia of Atmospheric Sciences (2nd edition) volume 5 under the entry on Jet Streaks - a preview with the relevant equation can be found here under the heading "SYNOPTIC METEOROLOGY | Jet Streaks" https://www.sciencedirect.com/topics/earth-and-planetary-sciences/ageostrophic-flow
– Will Watson Apr 26 '21 at 21:19