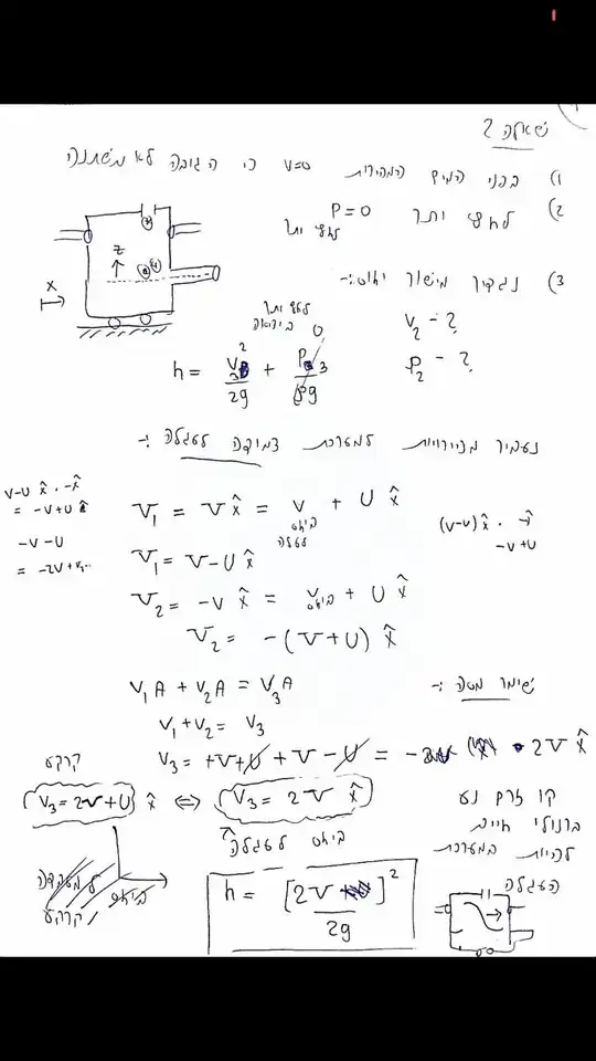
Let’s say I have moving cart with velocity U .
And water from pipe flows at velocity V with respect to ground
The question asks to use Bernoulli equation , pressure is atmospheric in the top
If I use Bernoulli equation relative to the cart I get hight h different than that when being on ground . Why ?
V3 = 2V relative to Cart Using Bernoulli equation I can easily get the hight
But when moving to the ground frame and using Bernoulli I get different answer
Which one is true ?

