Volinanserin
Clinical data
Other namesMDL-100,907; M100907
ATC code
  • None
Identifiers
  • (R)-(2,3-dimethoxyphenyl)-[1-[2-(4-fluorophenyl)ethyl]-4-piperidyl]methanol
CAS Number
PubChem CID
IUPHAR/BPS
ChemSpider
UNII
ChEMBL
CompTox Dashboard (EPA)
ECHA InfoCard100.123.797
Chemical and physical data
FormulaC22H28FNO3
Molar mass373.468 g·mol−1
3D model (JSmol)
  • c3cc(F)ccc3CCN(CC2)CCC2C(O)c(c1OC)cccc1OC

Volinanserin (INN) (developmental code name MDL-100,907) is a highly selective 5-HT2A receptor antagonist that is frequently used in scientific research to investigate the function of the 5-HT2A receptor.[1][2][3] It was also tested in clinical trials as a potential antipsychotic,[4][5] antidepressant,[6] and treatment for insomnia but was never marketed.[7]

Synthesis

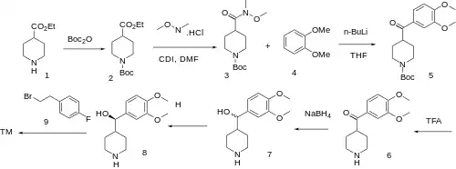
Synthesis:[8] Patent:[9] Precursor:[10] Compositions:[11]

The protection of Ethyl isonipecotate [1126-09-6] (1) with Boc anhydride gives ethyl n-boc-4-piperidinecarboxylate [142851-03-4] (2). Ester-amide interchange with N-Methoxymethylamine HCl: [6638-79-5] in the presence of CDI coupling agent gives 1-Boc-4-[methoxy(methyl)carbamoyl]piperidine [139290-70-3] (3). Weinreb ketone synthesis occurs upon benzoylation with 1,2-Dimethoxybenzene [91-16-7] (4) to give 1-Boc-4-(3,4-dimethoxybenzoyl)piperidine, [2322526-86-1] CID:139510111 (5). Acid removal of the urethane protecting group gives (3,4-dimethoxyphenyl)-piperidin-4-ylmethanone [742665-98-1] (6). The reduction of the ketone with sodium borohydride leads to (3,4-Dimethoxyphenyl)-piperidin-4-ylmethanol, CID:24261124 (7). Resolution of the alcohol gives (8). Sn2 alkylation of the secondary nitrogen with 4-Fluorophenethyl bromide [332-42-3] (9) completed the synthesis of Volinanserin (10).

See also

References

  1. Schmidt CJ, Fadayel GM, Sullivan CK, Taylor VL (November 1992). "5-HT2 receptors exert a state-dependent regulation of dopaminergic function: studies with MDL 100,907 and the amphetamine analogue, 3,4-methylenedioxymethamphetamine". European Journal of Pharmacology. 223 (1): 65–74. doi:10.1016/0014-2999(92)90819-P. PMID 1362159.
  2. Herth MM, Kramer V, Piel M, Palner M, Riss PJ, Knudsen GM, Rösch F (April 2009). "Synthesis and in vitro affinities of various MDL 100907 derivatives as potential 18F-radioligands for 5-HT2A receptor imaging with PET". Bioorganic & Medicinal Chemistry. 17 (8): 2989–3002. CiteSeerX 10.1.1.519.5663. doi:10.1016/j.bmc.2009.03.021. PMID 19329329.
  3. Nic Dhonnchadha BA, Fox RG, Stutz SJ, Rice KC, Cunningham KA (April 2009). "Blockade of the serotonin 5-HT2A receptor suppresses cue-evoked reinstatement of cocaine-seeking behavior in a rat self-administration model". Behavioral Neuroscience. 123 (2): 382–96. doi:10.1037/a0014592. PMC 3830454. PMID 19331461.
  4. Offord SJ, Wong DF, Nyberg S (August 1999). "The role of positron emission tomography in the drug development of M100907, a putative antipsychotic with a novel mechanism of action". Journal of Clinical Pharmacology. 39 (S1): 17S–24S. doi:10.1002/j.1552-4604.1999.tb05933.x. PMID 10434243. S2CID 21311671.
  5. Charney DS, Nestler PS, Sklar P, Buxbaum JD (July 2013). Neurobiology of Mental Illness. OUP USA. p. 767. ISBN 9780199934959.
  6. Marek GJ, Martin-Ruiz R, Abo A, Artigas F (December 2005). "The selective 5-HT2A receptor antagonist M100907 enhances antidepressant-like behavioral effects of the SSRI fluoxetine". Neuropsychopharmacology. 30 (12): 2205–15. doi:10.1038/sj.npp.1300762. PMID 15886717.
  7. Teegarden BR, Al Shamma H, Xiong Y (2008). "5-HT(2A) inverse-agonists for the treatment of insomnia". Current Topics in Medicinal Chemistry. 8 (11): 969–76. doi:10.2174/156802608784936700. PMID 18673166.
  8. Németh, Krisztina; Palkó, Roberta; Kovács, Péter; Visy, Júlia (2014). "Development of novel chiral capillary electrophoresis methods for the serotonin receptor (5-HT2A) antagonist MDL 100,907 (volinanserin) and for its key intermediate compound". Journal of Pharmaceutical and Biomedical Analysis. 88: 579–583. doi:10.1016/j.jpba.2013.10.017.
  9. Albert A. Carr, John M. Kane, & David A. Hay, WO1991018602 (to Aventis Pharmaceuticals Inc).
  10. Huang, Yiyun; Mahmood, Khalid; Mathis, Chester A. (1999). "An efficient synthesis of the precursors of [11C]MDL 100907 labeled in two specific positions". Journal of Labelled Compounds and Radiopharmaceuticals. 42 (10): 949–957. doi:10.1002/(SICI)1099-1344(199910)42:10<949::AID-JLCR253>3.0.CO;2-S.
  11. Thomas Paul Blackburn, WO1998004289 (to SmithKline Beecham Ltd).
This article is issued from Wikipedia. The text is licensed under Creative Commons - Attribution - Sharealike. Additional terms may apply for the media files.