I have in mind that R-squared is the explained variance of the response by the predictors. But i'd like to know how the adjusted value is computed ? and if the concept has any change from the original.
1 Answers
A google search for r-squared adjusted yielded several easy to follow explanations. I am going to paste a few directly from such results.
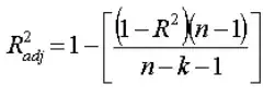
Meaning of Adjusted R2 Both R2 and the adjusted R2 give you an idea of how many data points fall within the line of the regression equation. However, there is one main difference between R2 and the adjusted R2: R2 assumes that every single variable explains the variation in the dependent variable. The adjusted R2 tells you the percentage of variation explained by only the independent variables that actually affect the dependent variable.
What Is the Adjusted R-squared? The adjusted R-squared compares the explanatory power of regression models that contain different numbers of predictors. Suppose you compare a five-predictor model with a higher R-squared to a one-predictor model. Does the five predictor model have a higher R-squared because it’s better? Or is the R-squared higher because it has more predictors? Simply compare the adjusted R-squared values to find out! The adjusted R-squared is a modified version of R-squared that has been adjusted for the number of predictors in the model. The adjusted R-squared increases only if the new term improves the model more than would be expected by chance. It decreases when a predictor improves the model by less than expected by chance. The adjusted R-squared can be negative, but it’s usually not. It is always lower than the R-squared.
- 567
- 4
- 11
-
thanks @grldsndrs, good explanation, and sorry if the question was naive. – Rafael Toledo Oct 23 '16 at 02:26
-
Nice explanation. More technical details can be found at https://thestatsgeek.com/2013/10/28/r-squared-and-adjusted-r-squared/ – Guillaume F. Nov 12 '21 at 21:14
