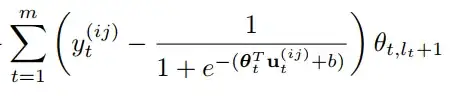
I am currently reading a white paper relating to Expectation-Maximisation (EM) and would like to encode a formula so I can play with it in order to help my understanding. The formula in question is a sum over values and shown below;
I am wondering what the advice on the best way to acheive this would be. I am currently thinking about using a for loop to create some kind of cumulative value as I iterate from t = 1 to m.
