I'm trying to understand the technical part of Latent Dirichlet Allocation (LDA), but I have a few questions on my mind:
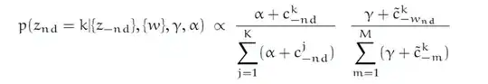
First: Why do we need to add alpha and gamma every time we sample the equation below? What if we delete the alpha and gamma from the equation? Would it still be possible to get the result?
Second: In LDA, we randomly assign a topic to every word in the document. Then, we try to optimize the topic by observing the data. Where is the part which is related to posterior inference in the equation above?
