I learned how to use libpgm in general for Bayesian inference and learning, but I do not understand if I can use it for learning with hidden variable.
More precisely, I am trying to implement approach for Social Network Analysing from this paper: Modeling Relationship Strength in Online Social Networks.
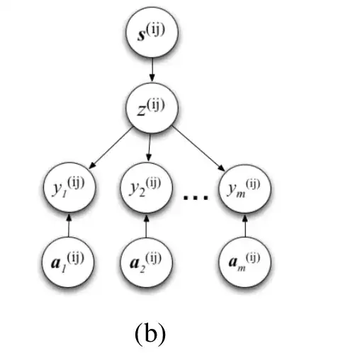
They suggest to use following architecture

Here
- S(ij) represents vector of similarity between user i and j - Observed
- z(ij) is a hidden variable - relationship strength (Normal distribution regularised by W - weights and similarity vector)- Hidden
- yt(ij) is user interaction(1,2…n -> certain type of interaction e.g. 1=I retweeted j) (function of z and a that involves Theta parameter) - Observed
- at(ij) is auxiliary variable which represents how often certain interaction occurs - Observed
Approach described in paper for training is quite difficult and involves coding of ascent optimisation. I wonder If I can use libpgm to learn W and Theta parameters. If yes, how to do it? If no, what libraries I can use to do it.