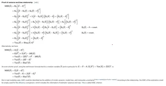
Based on the deeplearningbook:
$$MSE = E[(\theta_m^{-} - \theta)^2]$$
$$equals$$
$$Bias(\theta_m^{-})^2 + Var(\theta_m^{-})$$
where m is the number of samples in training set, $\theta$ is the actual parameter in the training set and $\theta_m^{-}$ is the estimated parameter.
I can't get to the second equation. Further, I don't understand how the first expression is gained.
Note:
$Bias(\theta_m^{-})^2 = E(\theta_m^{-2}) - \theta^2$
Also how bias and variance evaluated in classification.?
