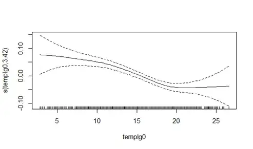
I really need help with GAM. I have to find out whether association is linear or non-linear by using GAM. The predictor variable is temperature at lag0 and the output is cardiovascular admissions (count variable). I have tried a lot but I am not able to understand how to interpret the graph and output that I am getting.
I tried this formula using mgcv package:
model1<- gam(cvd ~ s(templg0), family=poisson)
summary(model1)
plot(model1)
So here is the output for summary that I am getting:
Family: poisson
Link function: log
Formula:
cvd ~ s(templg0)
Parametric coefficients:
Estimate Std. Error z value Pr(>|z|)
(Intercept) 3.195669 0.004877 655.2 <2e-16 ***
---
Signif. codes: 0 ‘***’ 0.001 ‘**’ 0.01 ‘*’ 0.05 ‘.’ 0.1 ‘ ’ 1
Approximate significance of smooth terms:
edf Ref.df Chi.sq p-value
s(templg0) 3.422 4.295 57.23 2.93e-11 ***
---
Signif. codes: 0 ‘***’ 0.001 ‘**’ 0.01 ‘*’ 0.05 ‘.’ 0.1 ‘ ’ 1
R-sq.(adj) = 0.0152 Deviance explained = 1.68%
UBRE = 1.016 Scale est. = 1 n = 1722
Can someone please explain the output in detail. What this output is explaining? and also can someone help what this plot (picture attached) is showing? Please be kind as I have invested a lot of time but can not find how to interpret this.


