I was going through a paper comparing glove and word2vec. I came across the pound notation shown below. What does it mean when used like this?
The link for paper is here
Asked
Active
Viewed 64 times
2
Sagar Patel
- 63
- 1
- 5
2 Answers
2
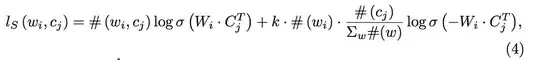
In the third paragraph of the first section (page 1), they define $\#(w)$, $\#(w; c)$, and $\#(c)$. Quoting such paragraph:
Word-context pairs are denoted as $(w; c)$, and $\#(w; c)$ counts all observations of $(w; c)$ from the corpus. We use $\#( w ) = \sum_c \#(w; c)$ and $\#(c) = \sum_w \#(w; c)$ to refer to the count of occurrences of a word (context) in all word-context pairs. Either $\sum_c \#(c)$ or $\sum_w \#(w)$ may represent the count of all word-context pairs.
So, considering the equation you cited:
- $\#(w_i, c_j)$ counts the occurrences of a specific word $w_i$ over the context $c_j$;
- and $\frac{\#(c_)}{\sum_w \#(w)}$ accounts for the the probability of having context $c_j$ in the dataset.
Rubens
- 4,097
- 5
- 23
- 42
-1
That just means count. #(w) is the number of times w occurs in the corpus.
spikedlatte
- 101
-
But for $$ #(w_i, c_j) $$ I couldnt figure out what it is because this is loss for a specific pair of words. So why count in there – Sagar Patel Apr 30 '15 at 17:18