5

I do have a data frame with different categorical and numerical columns with the following schema:

Id | num_col_1 | num_col_2 | num_col_3 | cat_col_1 | cat_col_2

Now I want to draw a combined plot with ggplot where I (box)plot certain numerical columns (num_col_2, num_col_2) with boxplot groups according cat_col_1 factor levels per numerical columns. Along y axis is the spread of the respective selected columns (not other column). So far I couldn' solve this combined task.

Thank you.

Fredrik
  • 967
  • 2
  • 9
  • 11

1 Answers1

6

If I understand right your question, you are looking to plot selected numerical columns against a selected categorical column of your dataset, am I right ?

If so, you can have the use of dplyr, tidyr and ggplot2 packages to achieve this.

Starting with this dataframe:

  id        num1      num2      num3 cat cat2
1  C -0.48892284  1.417909 2.8884577   a    f
2  C -0.62795166  1.472390 1.6625688   c    f
3  B -0.04691673  2.731553 0.9692889   c    e
4  B  0.16261812 -1.152528 2.4308332   a    d
5  C  1.29230591 -1.609465 2.2089074   a    f
6  E -0.46355650 -1.070132 0.4517597   b    f

Basically, you are selecting first your columns of interest (here num1, num2 and cat), then, you reshape data into a longer format using pivot_longer function to obtain something like that:

library(tidyr)
library(dplyr)
df %>% select(id, num1, num2, cat) %>%
  pivot_longer(., cols = c(num1,num2), names_to = "Var", values_to = "Val")

# A tibble: 200 x 4
   id    cat   Var       Val
   <fct> <fct> <chr>   <dbl>
 1 C     a     num1  -0.489 
 2 C     a     num2   1.42  
 3 C     c     num1  -0.628 
 4 C     c     num2   1.47  
 5 B     c     num1  -0.0469
 6 B     c     num2   2.73  
 7 B     a     num1   0.163 
 8 B     a     num2  -1.15  
 9 C     a     num1   1.29  
10 C     a     num2  -1.61  
# … with 190 more rows

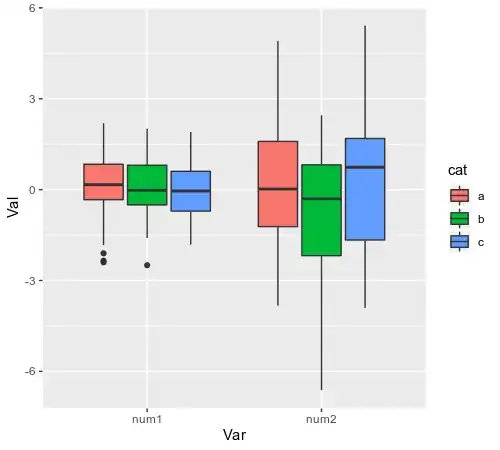
Finally, you can add to this pipe sequence the plotting part by calling ggplot and geom_boxplot :

library(tidyr)
library(dplyr)
library(ggplot2)
df %>% select(id, num1, num2, cat) %>%
  pivot_longer(., cols = c(num1,num2), names_to = "Var", values_to = "Val") %>%
  ggplot(aes(x = Var, y = Val, fill = cat)) +
  geom_boxplot()

enter image description here

Is it what you are looking for ?

Data

set.seed(123)
id <- sample(LETTERS[1:5],100, replace = TRUE)
num1 <- rnorm(100)
num2 <- rnorm(100)*2
num3 <- rnorm(100)+2
cat <- sample(letters[1:3],100, replace = TRUE)
cat2 <- sample(letters[4:6],100, replace = TRUE)
df <- data.frame(id, num1, num2,num3, cat,cat2)
dc37
  • 196
  • 1
  • 5
  • Yes, this is what I meant, thank you. A bit disappointing that no way to plot this without the intermediary step of pivoting, but the solution works. – Fredrik Jan 17 '20 at 12:53
  • Glad that it works for you ;). I agree that the grammar of ggplot could be a little restrictive. But with function like `pivot_longer` or `melt` (from `data.table` package), it's really easy to integrate into a workflow – dc37 Jan 17 '20 at 18:14