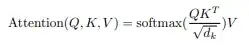
I am new to transformers, so this may be a silly question, but I was reading about transformers and how they use attention, and it involves the usage of three special vectors. Most articles say that one will understand their purpose after reading about how they are used for attention. I believe I understand what they do, but I'm unsure about how they are created.
I'm aware that they come from the multiplication of the input vector by three corresponding weights, but I'm not sure how these weights are derived. Are they chosen at random and trained like a standard neural network, and if so how if there's no predefined attention data in the training corpus?
I'm very new to this, so I hope everything I'm saying makes sense. If I've got something completely wrong, please tell me!

