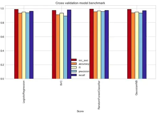
I have used 4 machine learning models on a task and now I am struggling to plot their bar charts just like shown below in the image. I am printing classification report to get precision, recall etc. My code is shown:
def Statistics(data):
# Classification Report
print("Classification Report is shown below")
print(classification_report(data['actual labels'],data['predicted labels']))
# Confusion matrix
print("Confusion matrix is shown below")
cm=confusion_matrix(data['actual labels'],data['predicted labels'])
plt.figure(figsize=(10,7))
sn.heatmap(cm, annot=True,cmap='Blues', fmt='g')
plt.xlabel('Predicted')
plt.ylabel('Truth')
Statistics(data)
How can I plot this type of chart in python
I have saved my actual and predicted labels into a csv. There are 4 models applied on the data. So I saved their actual and predicted labels into csvs just like shown below:
path='/content/drive/MyDrive/CSVs/OriginalCensusRFmodel.csv'
def read_csv(path):
# Read csv
data=pd.read_csv(path)
data=data.drop('Unnamed: 0',axis=1)
return data
data=read_csv(path)
def Statistics(data):
# Classification Report
print("Classification Report is shown below")
print(classification_report(data['actual labels'],data['predicted labels']))
# Confusion matrix
print("Confusion matrix is shown below")
cm=confusion_matrix(data['actual labels'],data['predicted labels'])
plt.figure(figsize=(10,7))
sn.heatmap(cm, annot=True,cmap='Blues', fmt='g')
plt.xlabel('Predicted')
plt.ylabel('Truth')
Statistics(data)
