I was watching a lecture about graph representation learning (from here) and got a little bit confusing about how they define the negative samping procedure.
In the presentation J. Leskovec briefly describes the famous trick with the following slide 
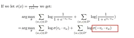
He refers to the article by Y. Goldberg for details of how this formula is derived. The problem is that formula is a little bit different (with the additional minus sign in the sigmoid):
Moreover, in their famous article Mikolov et al defined negative sampling the same way.
I couldn't find any explaination from Leskovec or anyone about this difference. Would anyone be so kind to explain this to me?
