6

After reading this question about the origin of NaCl on Earth, I'm wondering: How did the amount of NaCl develop historically? Is it a more or less linear growth until today? Was it such a linear growth and then reached a level that it maintains until now? Or was that more complex over the billions of years of Earth's existence?

Florian
  • 257
  • 2
  • 5

1 Answers1

3

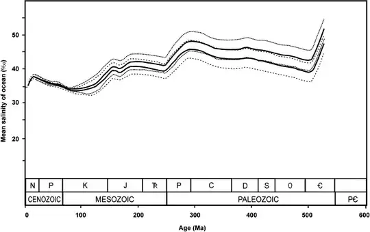
Here is a graph describing modern estimates of ocean salinity throughout the Phanerozoic (past ~550 million years). Salinity from Hay et al., 2006 The original PDF of this study can be found here:

Hay, W.W., Migdisov, A., Balukhovsky, A.N., Wold, C.N., Flögel, S. and Söding, E., 2006. Evaporites and the salinity of the ocean during the Phanerozoic: Implications for climate, ocean circulation and life. Palaeogeography, Palaeoclimatology, Palaeoecology, 240(1-2), pp.3-46.

As this graph shows, it is not linear at all and actually decreasing since the end of the Precambrian. This is a result of many factors including changing volume of ocean water, and the global chloride cycle. The details are all described in that paper.

Geochron
  • 851
  • 7
  • 10