4

Hi I have this block diagram:

enter image description here

Now, I want to reduce it to such a block diagram:

enter image description here

How do I find H ? I am looking for a general method, of how to approach such problems.

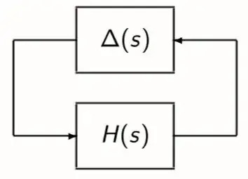
Here is what H should be:

enter image description here

henry
  • 215
  • 2
  • 6
  • Search for "Lur-e type systems" on Google. That is the name of the type of blockdiagram you show in second picture. With Lur-e type systems you seperate the non-linear part (delta) from the linear part. Furthermore, you can easily derive this yourself since this is simply blockdiagram manipulations. You know that in the blockdiagram you have shown that $r(t)$ is assumed zero? – WG- May 31 '17 at 00:00

1 Answers1

1

Deriving the expression for $H$ is relatively straightforward, if you understand how to manipulate block diagrams. The discussion below outlines the general approach (but you should probably google for a more academic description) and can be applied to either SISO or MIMO block diagrams. However, for the latter, you need to make sure that you maintain the correct order of multiplication (generally, for matrices, $AB \neq BA$).

  1. Define the input and output signals of interest. In this case, by comparing both block diagrams:

    • The output of the block $H$, i.e. the input to the block $\Delta$, equals the signal running between the blocks $K$ and $G$. Refer to this signal as the output $x$.
    • The input to the block $H$, i.e. the output of the block $\Delta$, equals the signal running between $\Delta$ and $W_2$. Refer to this signal as the input $u$.
  2. Derive the relation between input $u$ and output $x$ based on the block diagram. The most straightforward approach is to trace the signal path through the block diagram in reverse (i.e. from $x$ to $u$). This results in:

$$ x = K(r - W_2u - Gx)$$

  1. Solving for the output $x$ in terms of the inputs $r$ and $u$:

$$ x = (I + GK)^{-1}K\cdot r - (I + GK)^{-1}KW_2 \cdot u$$

  1. In order to determine the expression for $H$ neglect/ignore all input signals that are not of interest (i.e. set them equal to zero). As $H$ describes the relation $u$ and $x$, $r$ should be set equal to zero. Resulting in the following expression for $H$:

$$ H = -(I+GK)^{-1}KW_2 $$

The above equation assumes that the block diagram describes a MIMO system. In case the system is SISO (and only in that case) this is equivalent to:

$$ H = W_2\frac{-K}{1+GK} $$

user883521
  • 540
  • 1
  • 4
  • 11