1

I asked this question over at Aviation.stackexchange but after that I figured it might be better to place it here. Especially since there were really good answers on the NACA 5-digit-Series airfoil generation.

I would like to calculate the profile NACA 64-2A015. With the help of Aviation.stackexchange I learned that the A-Version of the profile was created to ease manufacturing by thickening the trailing edge-section (by a straight contour from 80% chord backwards).

However, I am struggling to plot the profile based on the equations given here and here.

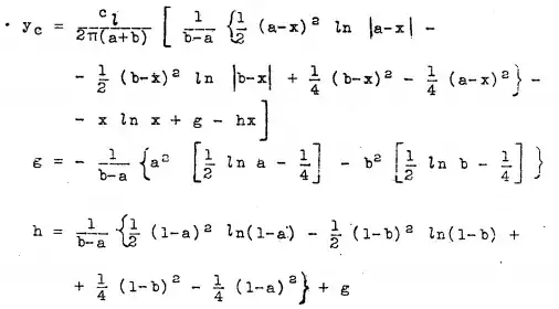
equations

The implementation in MATLAB looks like this: Here is the Matlab code I used:

a = 0.4;
b = 1.0; % caution for NON-unity entries change the equation for h
% c = 1; to simplifiy the equation the chord is set to 1

cl = 1;

g = -1/(b-a) * (a^2 * (1/2  * log(a) -1/4) - b^2 * (1/2 * log(b) -1/4)); % g  = -1/(1-a) * (a^2 * (1/2 * log(a) -1/4) + 1/4)
h = 1/(1-a) * (1/2*(1-a)^2 * log(1-a) -1/4*(1-a)^2)+g; % simplified version for b = 1: h =  1/(b-a) * (1/2*(1-a)^2 * log(1-a) - 1/2 * (1-b)^2 * log(1-b) + 1/4*(1-b)^2 - 1/4*(1-a)^2) + g

x = (0:0.001:1);
y  = cl/(2*pi*(a+b)) * ( 1/(b-a) .* (1/2 * (a-x).^2 .* log(abs(a-x)) - 1/2 .* (b-x).^2 .* log(abs(b-x)) + 1/4 .* (b-x).^2 - 1/4 .* (a-x).^2) - x.*log(x) + g - h.*x); % y = cl/(2*pi*(a+1)) * ( 1/(1-a) .* (1/2 * (a-x).^2 .* log(abs(a-x)) - 1/2 .* (1-x).^2 .* log(abs(1-x)) + 1/4 .* (1-x).^2 + 1/4 .* (a-x).^2) - x.*log(x) + g - h.*x);

L6j01_x = [0, 0.005, 0.0075, 0.0125, 0.025, 0.05, 0.075, 0.1, 0.15, 0.2, 0.25, 0.3, 0.35, 0.4, 0.45, 0.5, 0.55, 0.6, 0.65, 0.7, 0.75, 0.8, 0.85, 0.9, 0.95, 1];
L6j01_y = [0, 0.01193, 0.01436, 0.01815, 0.02508, 0.03477, 0.04202, 0.04799, 0.05732, 0.06423, 0.06926, 0.0727, 0.07463, 0.07487, 0.07313, 0.06978, 0.06517, 0.05956, 0.05311, 0.046, 0.03847, 0.03084, 0.02321, 0.01558, 0.00795, 0.00032];

plot(x,y), axis equal, hold on
plot(L6j01_x, L6j01_y,'ro'), hold off

But the results do not match the data points from the Nasa-Reports enter image description here.

What did I miss to implement in the equation or is there another representation of the airfoil (excluding leading and trailing edge radius)?

rul30
  • 1,202
  • 8
  • 24
  • Your expression for $h$ is not correct. $h = \frac{1}{b -a}$ ... – user883521 Jul 31 '17 at 19:57
  • yeah kind of, it's because I set b=1 and then the log-term messes up matlab so I have two versions for it, that's also why I put the comment on b. – rul30 Jul 31 '17 at 20:49
  • equation is to design mean line of naca 6 digit series airfoil, in the naca report it is shown that thickness distribution of this type airfoil section, what mentioned about is diffrent the equation – user33520 Jun 05 '21 at 12:50

2 Answers2

1

Sorry, I got this completely wrong!

The equation is not the profile contour but the chamber-line. Since a symmetric airfoil does not produce any lift, this ($y_c$) should be a straight line (which is exactly what happens for $c_{l}=0$).

The correct equation for the thickness distribution is a conformal mapping of a circle as described in Nasa TM 4741

enter image description here

rul30
  • 1,202
  • 8
  • 24
0

There seems to be a syntax error at the first term of y.

Cli is defined as the design coefficient of lift, not the chord length.

There can be other misinterpretations too. I'd suggest checking all terms once again.

Also, in the report it says that these equations are just a simplification of real coordinates of airfoils. (Just above equation 6). They probably did a curve matching, so even if all the equations are entered correctly, there will still be some error in comparison to a given set of coordinates.

Gürkan Çetin
  • 896
  • 5
  • 19
  • I was not aware, that I mixed those up. I thought I have to put cl=cli to unity because I want an symmetrical airfoil. – rul30 Aug 01 '17 at 07:20
  • Hm, now that I read it again, the chamber-line of a straight airfoil should be a line, right? – rul30 Aug 01 '17 at 07:22
  • @rul30 , please try the corrected equation to compare the camberlines. Hope my answer helped you. – Gürkan Çetin Aug 01 '17 at 16:58