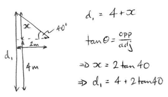
In my engineering textbook, I didnt understand the example given to explain the magnitude of the moment. It asks to calculate the magnitude of the moment about the base point O of the 600-N force in five different ways. Now, I dont understand the third way it calculated the moment. What I don't understand is why d(1) = 4 + 2 tan(40) and so the moment is 460(d(1)).
It used the principle of transmissibliity to move the vector force to point B and so we dont need one of the component as it is parallel with the distance. And to calculate the distance we have 4 + 2 tan(40). I understand upto 4 but I dont understand why we add 2tan(40). How is 2 vectored with tan(40)?
Use picture I have uploaded. 
