2

How do I determine the internal normal force, shear force and moment at the point C?

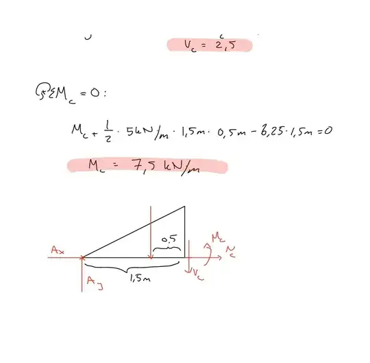
Figure1 $V_c = 0$, $N_c = 0$ and $M_c=3.75 kN/m$

I have already done this: enter image description here enter image description here

Where is the problem?

meceng
  • 21
  • 1
  • 2
  • 1
    When solving for the external reactions, the equivalent point load for the triangular distributed load between points A and B does not act at point C. – CableStay Mar 12 '19 at 13:28

2 Answers2

2

As stated by @CableStay in a comment, you just made a small mistake when determining the equivalent concentrated load for the distributed load between A and B.

Triangular loads are equivalent to a concentrated load applied 1/3 of the way from the maximum load. You know this since you did it correctly every other time in this exercise, but when you did it for the load between A and B, you placed the concentrated load at C, halfway between A and B, when it should actually be 2 m away from A and 1 m away from B.

Repeating your work fixing this one mistake, you get:

$$\begin{align} \sum M_B &= \dfrac{1}{2} \cdot 10 \cdot 3 \cdot 1 - \dfrac{1}{2} \cdot 10 \cdot 1.5 \cdot 0.5 - 3A_y = 0 \\ \therefore A_y &= 3.75\text{ kN} \\ w_C &= 10\dfrac{1.5}{3} = 5\text{ kN/m} \\ V_C &= 3.75 - \dfrac{1}{2} \cdot 5 \cdot 1.5 = 0\text{ kN} \\ M_C &= -3.75 \cdot 1.5 + \dfrac{1}{2} \cdot 5 \cdot 1.5 \cdot 0.5 = -3.75\text{ kNm} \end{align}$$

Wasabi
  • 13,048
  • 7
  • 35
  • 61
0

Let's just handle this from the other end of the beam, of course the result will be the same as in Wasabi's answer.

lets get the moment about A $$ \Sigma M_a = 1/2\cdot 10\cdot 3 \cdot2 + 1/2\cdot10\cdot 1.5 \cdot 3.5 - Y_b =0 \\ \therefore Y_B = 18.75kN \quad and; \quad Y_A = 15+7.5- 18.75= 3.75kN $$

Note: slope of the load on the left side of B is 3.333 kN/m, so the load increases by 5kN at each 1.5 meters.

$$v_c = 3.75 - 1.5\cdot 5/2 =0 kN $$

$$ M_C = -3.75\cdot1.5 + (1.5\cdot5/2) 0.5= -3.75 $$ $$ \Sigma F_x = 0, \quad N_C =0 $$

kamran
  • 21,714
  • 2
  • 18
  • 38