10

I am working on modeling concrete fibers (metallic fibers) as a mathematical model. My work is for my thesis. I am a PhD student of numerical analysis, but I am working on a real tunnel project.

I have had issues with the distribution of fibers in the concrete. I am trying to find a way to develop a stochastic differential equation for the fibers.

I have the following questions:

  1. Is there any mathematical model for concrete fiber? (not statistical model)
  2. Is there any technical information available for how concrete fibers behave?
706Astor
  • 1,054
  • 1
  • 8
  • 19
Khosrotash
  • 203
  • 2
  • 6
  • Are you referring to polypropylene fibers, glass fibres, steel fibres? Is the material wet cast concrete or a sprayed concrete? Is it a concrete or a mortar? What is the ultimate purpose of the thesis work - establishing properties of the final product? Or modelling the physical behaviour? – AsymLabs Oct 10 '15 at 16:08
  • I am working on steel fibers .My aim is to find a mathematics model for distribution of fibers in concrete . Final purpose may be to optimize fiber concrete for subway tunnel segment .Thanks for your attention . – Khosrotash Oct 11 '15 at 06:44
  • A key issue in your modelling is the aggregate itself, that is why I asked whether the mixtures would be mortar (sand based) or concrete (stone and sand based). In the latter I think you will find that the stone is the constraining factor on fibre distribution, whereas it would not be on the former. – AsymLabs Oct 11 '15 at 08:29
  • Is your endpoint the equations or are you looking to discretize and model the equation computationally? – AsymLabs Oct 11 '15 at 10:16
  • The term _stochastic_ is rather all encompassing, are you suggesting something like _Ito_ calculus or are you thinking in terms of _variance_ (ie random variables, random vectors) effects? How are you framing the problem, perhaps according to the change in fibre concentration over a given volumetric element or something else? – AsymLabs Oct 11 '15 at 10:36
  • My end point is ,to obtain a mathematical model for this kind of concrete.I am working on it to suggest stochastic differential equation (or system of diff. eq.) .In this way , use Ito calculus 100%.But I am not looking for statistical model (as I search ...statistical model exist). – Khosrotash Oct 13 '15 at 05:48
  • The Ito calculus most uses in finance.Now I want to use it for establish a model for concrete.I have good knowledge in Ito calculus .If i find a some mathematical model from past, I can develop it into stochastic model . – Khosrotash Oct 13 '15 at 05:53
  • As you mentioned, many, if not most of these applications are found in finance these days, they are done in terms of time. Are you instead looking for a solution in terms of volume? I am considering putting some ideas down for you but I am not sure how you are wanting to frame the problem - the first step in framing the problem is understanding the media and how your subject of interest - ie metal fibres will interact with this. – AsymLabs Oct 13 '15 at 08:37
  • @Khosrotash I came here looking for people that know a bit about concrete modeling, who might be able to help us answer this question, on the brand new Materials Stack Exchange: https://materials.stackexchange.com/q/493/5 – Nike Dattani May 10 '20 at 16:48

1 Answers1

1

Related - how do i calculate an estimate for the properties of a composite material

The reference to Mil Handbook 17F, p. 213 is summarized here:

enter image description here

Computation of effective elastic moduli is a very difficult problem in elasticity theory and only a few simple models permit exact analysis. One type of model consists of periodic arrays of identical circular fibers, e.g., square periodic arrays or hexagonal periodic arrays ... These models are analyzed by numerical finite difference or finite element procedures. Note that the square array is not a suitable model for the majority of Uni-Directional Composites since it is not transversely isotropic.

The composite cylinder assemblage (CCA) model permits exact analytical determination of effective elastic moduli ... Consider a collection of composite cylinders, each with a circular fiber core and a concentric matrix shell. The size of the cylinders may vary but the ratio of core radius to shell radius is held constant. Then...

enter image description here

(Where $V_f$ is the volume fraction of fibers to the total amount of material. $X_{m}$ is a property of the matrix, $X_{f}$ is a property of the fiber, and $E, G, k$ are the elastic modulus, shear modulus, and bulk modulus properties. The bulk modulus, k, can be computed for isotropic materials as $\frac{E}{2(1-\nu-2\nu^2)}$, where $\nu$ is the Poisson's ratio. The G without a subscript is a typo, and should be replaced with $G_m$)

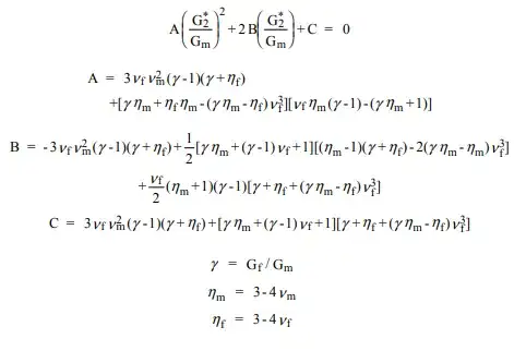
A preferred alternative is to use a method of approximation which has been called the Generalized Self Consistent Scheme (GSCS). According to this method, the stress and strain in any fiber is approximated by embedding a composite cylinder in the effective fiber composite material. The volume fractions of fiber and matrix in the composite cylinder are those of the entire composite. Such an analysis ... results in a quadratic equation for the shear modulus...

enter image description here

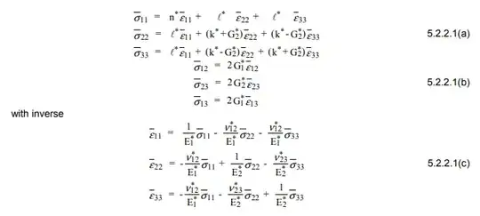
The net algorithm is to compute the effective bulk modulus $k^*$, 12 poisson's ratio $\nu_{12}^*$, and young's modulus $E_{1}^*$ first, then use the quadratic formula listed to calculate the second shear modulus, $G_2^*$. Using $G_2^*$, $E_2^*$, $\nu_{23}^*$, and $G_1$ can be calculated. These are in the local coordinate system of the fiber. To translate to global coordinates:

enter image description here

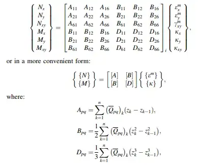
We can then rotate the fiber to find the properties of the uni-directional composite to find the properties in an arbitrary direction:

enter image description here

where Qbar is the rotated matrix, and Q is the original inverse matrix. For a stochastic model, the angle of the fiber and the volume fraction can be the inputs, and the outputs would be the resulting properties. Note that for a uniform random distribution, it is possible to integrate the Qbar matrix as theta varies from 0 to $2\pi$, then divide by $2\pi$ to obtain a symmetrical matrix. The results from this method match well with data on random fiber materials in the fiberglass industry.

As you asked about a differential equation, we'd need to review the appropriate theory from this point on. For example, the classical plate equation, $$\nabla^2\nabla^2 = \frac{q}{D}$$, works partly. We have to include another stoichastic variable, the height of the fiber inside of a block of concrete. The closer the fiber is to the top, the stiffer the block will be against the bending load. The block can be divided into arbitrary segments of uniform thickness, and the volume of the fibers in each segment is added, generating different Qbars. A different distribution would result in different properties of the block:

enter image description here

This matrix, called the ABD matrix, would then redefine the plate equation as follows:

$$D_{11}\frac{\partial^4 w}{\partial x^4} + 2(D_{12}+2 D_{66})\frac{\partial^4 w}{\partial x^2 \partial y^2} + D_{22}\frac{\partial^4 w}{\partial y^4} = q(x,y)$$

for the simplest of cases (B matrix irrelevant, no transverse loading, etc...). The cases go stranger from there, but can be derived from the original derivations, but stopping when the model says to assume the stress is proportional to the stain.

Mark
  • 5,333
  • 13
  • 47
  • I came here looking for people that know a bit about concrete modeling, who might be able to help us answer this question, on the brand new Materials Stack Exchange: https://materials.stackexchange.com/q/493/5. Would you know the answer or know who might be able to help? – Nike Dattani May 10 '20 at 16:49