-1

enter image description here

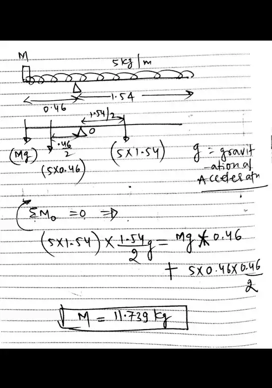
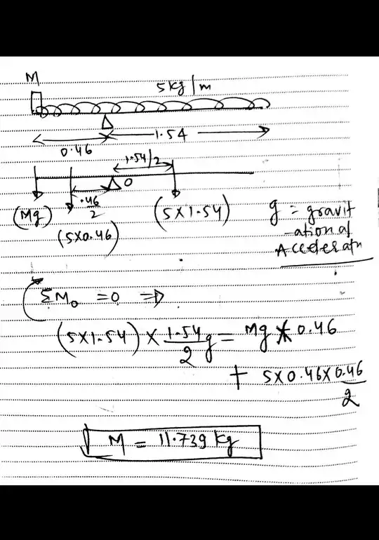
I have a lever which is 2m long. The fulcrum is 0.46m from the left hand side of the lever. The lever is has an evenly distributed load with a mass of 10kg.

How do I work out the mass needed on the left hand side to balance the lever on the pivot point?

I have looked at this but I am not an engineer and cannot work out how to apply this to my scenario.

Dylan
  • 1

4 Answers4

2

One approach is to use the following pieces of information:

  1. A uniform distributed load (a force) can be represented by a statically equivalent point load. The point load will have the same total magnitude as the distributed load and will act at the midpoint of the equivalent distributed load.
  2. Moment = (Load) * (Distance from load to the point where summing moments)
  3. For static equilibrium, the sum of the moments about any point must be zero.

beam sketch

So for equilibrium, it must be that: $$\begin{align} (\text{Self Weight}) \cdot 0.54\text{ m} &= (\text{Balancing Load}) \cdot 0.46\text{ m} \\ \therefore \text{Balancing Load} &= \text{Self Weight} \cdot \dfrac{0.54\text{ m}}{0.46\text{ m}} \end{align}$$

Note that for accurate units bookkeeping, we need to multiply the mass by gravitational acceleration = 9.81 m/s2 to get weight (a force). The self-weight of the beam is therefore 98.1 N. For this particular question, the underlying intuition is the same regardless of mass versus force and skipping the conversions won't change the final mass answer, but it's something to be aware of. Moments and equilibrium are about forces, and forces are mass * acceleration. (Fortunately SI makes for mercifully simple bookkeeping in comparison to Imperial units.)

Wasabi
  • 13,048
  • 7
  • 35
  • 61
CableStay
  • 2,790
  • 1
  • 13
  • 29
0

So 10 kg for 2 meters means it is 5 kg per meter. Now load on the left hand side of the fulcrum is 0.465 = 2.3 Kg. Point of application of this load is 0.23 meters to the left of fulcrum. Similarly, load on the right hand side of the fulcrum is 1.545 = 7.7 Kg. Point of application of this load is 0.77 meters to the right of fulcrum Now consider moment about point of support i.e. fulcrum.(moment is the product of force and the perpendicular distance from the point about which moment is taken) F0.46 + 0.232.3 = 7.7*0.77 where F = mass needed to balance the lever from above calculation you will get the value of F as 11.739 Kg.

Ashmark
  • 124
  • 1
  • 11
0

By observation, I have 2 moments about point F being the fulcrum. There are therefore 2 loads about point F of equal force but due to equilibrium we need to add more force on the shorter end of the lever to reach equilibrium.

In order to calculate the forces across the entire system in equilibrium we recognise that the resistive force is through the midpoint of F. The lever is also in equilibrium and theoretical we ought to calculate the forces in action. The right moment of force we know to be force over distance. Since this is a single weight of 10kg we usually also need to convert it into Newton meters but the answer is to be a mass instead which means we may dispense with gravity {9.8066 m/s^2} in the calculations as redundant.

Since F=ML we is the UDL IS 10(1.54+0.46) =200kgf At the midpoint of the lever. The problem is the lever is not midpoint and therefore we need to subtract the shorter distance from the longer distance to obtain the difference which is the objective of the question. The answer would therefore be solving the problem by observation that 0.46m on the left of F is in equilibrium with 0.46m immediately right of F and, anything that extends past 0.46m on the right must logically have an equal force acting in conjunction with the 0.46m force on the left of F.

Mathematically

1.54-0.46=1.08m

Now we need only apply the load to the 1.8m midpoint as it is a Uniform Distributed Load of 10kg over 2m total. This is a percentage equation of 54% of 10kg which means that you need 54% of the total 10kg to create a state of equilibrium left of F at the end of the lever. Why the end, you may ask?

Remember that the first 0.46m either side of F is in equilibrium and that which extends beyond the 0.46m is not in equilibrium must be attached to the end of each end of the 0.46m points on the lever.

So 54% of 10kg overall is 5.4kg extra at the left end of the lever. But remember that you need to multiply that by the distance at which it acts? So the left side is 10kg÷2m=5kg/m @(0.5×0.46m)×10 =2.3kg The right side is 10kg÷2m=5kg/m @(0.5×1.54)×10 =7.7 Removing the equilibrium sections (in kilogram meters): 7.7-2.3=5.4

But here is the problem: that 5.4kg is acting in thin air 0.46m {beyond the end of left side of the lever so we need to conjunction the force at the end of the lever left of F rather than at 1m of nothing. We therefore must divide the force by unsupported distance to resolve it to the end of the lever i.e. Drag the weight to left of the lever and increase it to create equilibrium.

5.4kgm/0.46m =11.739kg point load at left end of lever left of fulcrum.

You will price that we reduced mass per meter to just mass

Rhodie
  • 942
  • 4
  • 15
0

enter image description herethe enter image description herethe diagram explains every aspect of answer. The mass needed to balance is 11.739 kg.