Here is the problem I am working on:
"Consider a perfectly sealed polygonal tent with the sun directly overhead. The solar irradiance of a surface 90° to the sun’s rays is 1,000 W/m2. However, the solar irradiance on sides of the tent is 65° from normal and the irradiance on the top of the tent is 24° from normal. The front and back of the tent are parallel to the sun’s rays and absorb no radiation."
Given:
A ground area covered by the top of the tent = 28.4m^2
A ground area covered by the sides of the tent = 12.78m^2
A total tent surface area (A) = 85.4m^2
Tent Emissivity (e) = .72
Width of tent material (d) = .00159m
Thermal Conductivity Constant (K) = .05 W/mK
An internal air mass of 93.642 Kg
Specific heat = 718 J/Kg/K
An initial internal tent temperature of 300.15° Kelvin
A steady state outdoor temperature (θE) = 307.15° K
Internal tent temperature = θ
What is the internal tent temperature after 5 minutes of being exposed to the suns rays?
I broke this problem down into two ordinary differential equations used for different sections of the domain. The first equation is used when the internal temperature of the tent is less than the outside temperature. The second equation is used when the internal temperature of the tent is greater than the outside temperature. However, the overall statement holds true for both equations.
(rate heat is gained) - (rate heat is lost) = (rate at which heat is gained)
Equation 1 [300.15K, 307.15)
(solar irradiance + conduction) - (grey body radiation) = (rate at which heat is gained)
Solar irradiance = $(1000(24)∗28.4)+(1000(65)∗12.78)=31335.14$
Wattage absorbed by Tent = $*=.72∗31335.14=22561.3$
Conduction = $-\frac{\mathrm{KA}\left(\theta-\theta_{\mathrm{E}}\right)}{d}$
Grey Body Radiation (cooler tent to warmer outside) = $\operatorname{Ae}\sigma\theta^{4}$
Rate heat is gained = $\operatorname{mass}\left(c_{p}\right) \frac{d \theta}{d t}$
Overall Equation = $22561.3 -\frac{\mathrm{KA}\left(\theta-\theta_{\mathrm{E}}\right)}{d}-\operatorname{Ae} \sigma \theta^{4}=\operatorname{mass}\left(c_{p}\right) \frac{d \theta}{d t}$
After plugging in the given values and reducing we get: $\frac{d \theta}{d t}=12.6039-.0399425 \theta-5.18535\left(10^{-11}\right) \theta^{4}$
The next step was to linearize the above differential equation as a Taylor polynomial. This yields: $\frac{d \theta}{d t} \approx .0336383-.0457495(\theta-303.65)$
Solving this expression of the ODE with a $\theta(0) = 300.15$ results in the equation: $\theta(t)=-4.25 e^{-.045749 t}+304.4$
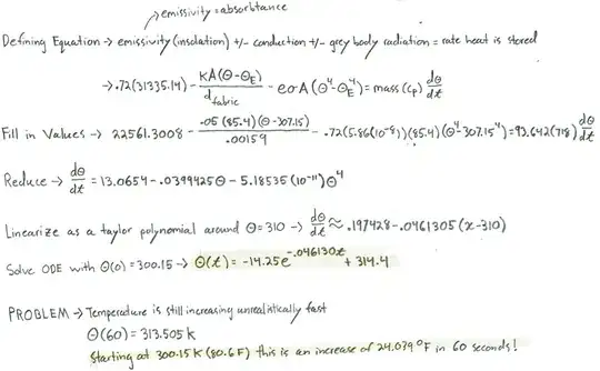
Equation 2 (307.15, inf)
The second equation is derived very similarly to the first equation. However, since the internal tent temperature is now greater than the outdoor temperature, the overall energy balance takes the form
(rate heat is gained) - (rate heat is lost) = (rate at which heat is gained)
(solar irradiance) - (grey body radiation + conduction) = (rate at which heat is gained)
Additionally, the grey body radiation equation used in this second derivation is slightly different. The Stefan-Boltzmann law for grey body radiation from a warmer body to a cooler environment takes the form:
$\operatorname{Aeσ}\left(\theta^{4}-\theta_{E}^{4}\right)$
This makes the starting equation for the second derivation: $22561.3-\left[\operatorname{Ae\sigma}\left(\theta^{4}-\theta_{E}^{4}\right)+\frac{K A\left(\theta-\theta_{E}\right)}{d}\right]=\operatorname{mass}\left(c_{p}\right) \frac{d \theta}{d t}$
The final form of equation two after filling in values, linearizing around 315.15 K, and solving the ODE with a $\theta(0) = 307.15$ is equal to: $\theta(t)=-7.27 e^{-.044984 t}+314.46$
Conclusions and Problems
There are two major flaws with this approach. First, I don't like how the method requires using two distinct equations that indicate different steady state values. In equation 1, as t --> ∞, the limit of () is 304.4 (not even 307.15, the outdoor temp). In equation 2, as t --> ∞, the limit of () is 314.42.
However using two equations seems necessary because the changing temperature likely encompasses two distinct thermodynamic situations. Conduction in the (indoor temp < outdoor temp) heats the tent air while conduction in the (indoor temp > outdoor temp) cools the air. Additionally, the (indoor temp < outdoor temp) requires one version of the Stefan-Boltzmann law ($\operatorname{Ae}\sigma\theta^{4}$)while (indoor temp > outdoor temp) requires a second version of the Stefan-Boltzmann law ($\operatorname{Aeσ}\left(\theta^{4}-\theta_{E}^{4}\right)$).Having two different equations with different steady states describing the same system indicates something is wrong with the modeling method. I would like to correctly remodel this system using just ONE equation that converges to ONE steady state.
Second, the the amount of temperature increase described by the equation seems very unreasonable. Starting at 300.15 K, after 60s we cover the range of equation 1 meaning we now after use equation 2. After 60s in equation to we reach equation 2's steady state (314 K). This means a temperature increase of 24.93° F in two minutes. Such a rapid increase seems unrealistic. Using these equations I can't even calculate the temperature increase in 5 minutes. Are there factors I am not considering in my modeling that including would give a more reasonable solution?
Thanks for any help!
UPDATE
So I've done some work today and resolved the issue of using two equations with two separate steady states. I now have one equation which works for the whole range of temperature values.
However, the problem of a really rapid temperature increase still remains. If anyone sees a way to resolve this please let me know.

