I made a forward fd-discretization of the Cauchy-Riemann PDEs but I am struggling to implement this in python.
I have a quadratic mesh with heighτ = $2*\pi$. The dirichlet boundary conditions are at $u(x,0) = f(x) = \cos(x)$ and $v(x,0) = g(x) = sin(x)$. And I have periodic boundary conditions: $u(2\pi,y) = u(0,y)$ and $v(2\pi,y) = v(0,y)$.
My code:
import numpy as np
import matplotlib.pyplot as plt
from mpl_toolkits.mplot3d import Axes3D
#meshsize
N=100
U = np.zeros([N,N])
V = np.zeros([N,N])
# dirichlet bc
x = np.linspace(0,2*np.pi,N)
for n in range(0,N):
V[N-1,n] = np.cos(x[n])
U[N-1,n] = np.sin(x[n])
# recursion
for i in range(1,N-1):
for j in range(0,N-1):
U[i,j] = U[i,j+1] - V[i+1,j] + V[i,j]
V[i,j] = U[i+1,j] - U[i,j] + V[i,j+1]
#periodic bc
dx1 = x[j] - x[i]
dx = np.mod(dx1, xSize * 0.5)
V[i-1, 0] = dx
U[i-1, 0] = dx
V[i-1, N-1] = dx
U[i-1, N-1] = dx
# coordinates
x = range(N)
y = range(N)
x, y = np.meshgrid(x, y)
# for interactive plot
%matplotlib notebook
# create plot
fig = plt.figure()
ax = fig.add_subplot(111, projection='3d')
ax.plot_surface(x, y, U, rstride=1, cstride=1, cmap='viridis', edgecolor='none')
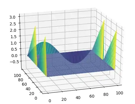
I expect the plot to look like the complex e-function $u (x, y) + i\;v(x, y) = exp (ix − y)$ but when I plot U or V there is only the integral of sinus or cosine respectively plotted. I am not sure if my nested for loop does what I want or if I have a lack of understanding how to plot this right. Does anyone have an idea how to solve this?

