2

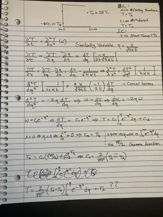
My question regards cooling of an object using 1D-heat transfer with fixed surface temperatures. First I need to find the solution to this PDE:

enter image description here

Based on the conditions, I worked out that the temperature of the interface of heat transfer is Ts and the object undergoing heat transfer starts out at To. The hyperlink below illustrates as far as I could work out the solution to the PDE but I can't seem to figure out how to proceed to arrive at an equation where I can insert values:

y current attempt

Later on in the question I am supposed to determine the temperature of the object after an hour and I just don't understand how to arrive at that equation.

NMech
  • 23,917
  • 2
  • 30
  • 72
collproj
  • 21
  • 1
  • What reference book are you using? I find Simonson good. – Solar Mike Sep 12 '21 at 07:37
  • "the object undergoing heat transfer starts out at To" At x=0, it's Ts. Reason it's confusing is (Ts-T0) gradient at that point... If one were to consider all the givens at x=0,t=0 one might conclude that at that point Ts=T0, but that's boring. Instead it would be better to say something like: An infinitely long (in both directions), 1D object at temperature T0 is exposed to Ts at position X=0, starting at time t=0, and let the student figure the conditions, approximations, and limitations of their model. – Abel Sep 12 '21 at 12:09

0 Answers0