5

This is a basic control theory question, since Control Theory is a part of applied mathematics but also of engineering I was unsure whether to ask this here.

The question says:

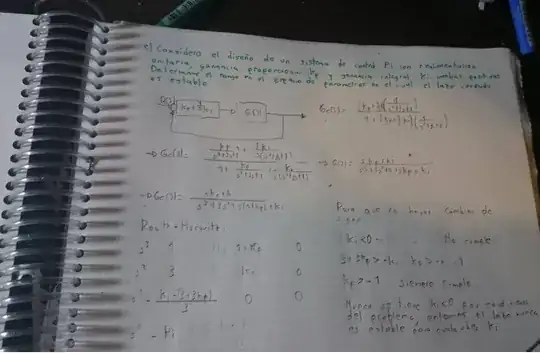
Given the transfer function of a system is $G(s)=1/(s^2+3s+2)$, consider the design of a PI closed loop control system with unit feedback using proportional gain $k_p$ and integral gain $k_i$, both of which are positive. Determine the range of gain for which the closed loop system is stable. What I did was this, I went the Routh-Hurwitz way:

My solution

After completing the Routh table, I went ahead and reasoned a little about what conditions need to be met in order to avoid sign changes on the main column, however it seems that these conditions are never met! I get that $k_i$ should be less than zero when the problem clearly specifies it will always be positive. Have I done something wrong? Is my reasoning right? Is the answer "The controller is never stable"?

Fred
  • 9,562
  • 11
  • 32
  • 44
HCalderon
  • 53
  • 4
  • 1
    I explained basically everything I did on the post, I think with that everyone can get every step I took, after all it's math.... – HCalderon Oct 13 '15 at 01:48

1 Answers1

5

There is a mistake in your expressions. The coefficient of $s$ is $2+k_p$.

The conditions are: $$\frac{1}{3} \left(3 \left(k_p+2\right)-k_i\right)>0$$ $$k_i>0$$ $$k_p>0$$

This simplifies to: $$k_p>0$$ $$0<k_i<3 k_p+6$$

Update:

If the transfer function is $$ \frac{1}{s^2+3 s + c} $$ where c is some positive constant, then the conditions simplify to: $$k_p>0$$ $$0<k_i<3 ( k_p+c)$$

Suba Thomas
  • 1,901
  • 8
  • 13
  • Can you be more speific about htat mistake? Because I can't seem to get to that coefficient for s^2 – HCalderon Oct 13 '15 at 15:24
  • In the first equation on the right you have $s^2+3 s+2$ as in the question, in the equation just below the figure you have $s^2+3 s+1$. – Suba Thomas Oct 13 '15 at 15:47
  • Indeed, I already corrected the error, that gives me 2+kp as the coefficient for s, not s^2 as you stated in your answer, or have I missed something else? – HCalderon Oct 13 '15 at 15:49
  • My bad, I meant coefficient for s! – Suba Thomas Oct 13 '15 at 15:50
  • That means the system with teh controller is still unstable if you complete the Routh Table, is that the final answer? Because it seems so! – HCalderon Oct 13 '15 at 15:52
  • No! Just redo things with $2+k_p$ and you will get the answer I have. The first condition I have, I just read off the table after using $2+k_p$. – Suba Thomas Oct 13 '15 at 15:55
  • I have updated the answer for a general positive constant c (which includes both 1 and 2). – Suba Thomas Oct 13 '15 at 16:13
  • 1
    @Suba I just worked through it independently and got the same result at you. +1 – Chris Mueller Oct 13 '15 at 16:53
  • Thanks for the independent confirmation. I also did a couple of checks on my answer, including substituting numerical values for the gains, because it's so easy to make simple calculation mistakes. – Suba Thomas Oct 13 '15 at 16:59