This statement "I guess the real question might be what mechanism makes a folded dipole work better than a regular dipole." is misleading as I see it. A folded dipole has a 4 times higher impedance, compared to a simple dipole with the same wire diameter it has more bandwidth, but compared to a simple dipole with the much larger effective diameter you would get by use of two parallel wires on each side of an ordinary dipole I suspect there would be no bandwidth advantage. Compare a,b and c here: https://www.google.com/search?q=multi-wire+dipole&client=firefox-b&tbm=isch&source=iu&ictx=1&fir=mKRhPlFY3mh3qM%253A%252CVjVXClZ9wzOVcM%252C_&usg=AFrqEzceJB6YnKbgc3ke89eLH9UlnKIr-Q&sa=X&ved=2ahUKEwjIvIfYwv_cAhXk-ioKHd7jBMEQ9QEwAHoECAUQBA#imgrc=VS3uPj4nnt8a6M:
B is a folded dipole. The open halfwave element does not contribute. A and C are equivalent as I can understand, but the feed impedance is different (by a factor of 9 I would guess.
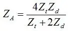
Making the wire diameter different for the two half wavelength parts of a folded dipole makes the impedance transformation different. As I understand it, the impedance is given by the current ratio of the elements to which power is fed at the center and the elements that are shorted (fed by the voltage
on the tips of the fed elements.) The bandwidth, as I understand it is given by the effective area of all wires.
The folded dipole is also a loop antenna, but in normal configurations the electric dipole radiation is orders of magnitude larger than the magnetic dipole radiation. The electric dipole radiation pattern has a zero in the plane of the dipole while the magnetic dipole pattern (a doughnut) does radiate in the plane of the (folded) dipole. In case you make your "folded dipole" a circle to give it the maximum possible magnetic moment, you would find that the radiation pattern is more like a magnetic dipole than an electric dipole.
If you want an electric dipole antenna (because that is the desired radiation pattern) folded or straight dipoles should be equivalent if they use the same number of wires with the same spacing. It is probably best to use a straight dipole (maybe with many parallel wires for bandwidth) because the lower feed impedance makes it easier to eliminate common mode interference on the cable with balun or common mode choke.