In Packet Tracer simulator I created following and testing ping from PC1 to PC2.
So pinging from 20.0.0.1 to 21.0.0.2 is timing out. But, if I set IP of PC1 to 21.0.0.1 then it is successful. Why? Please, explain.
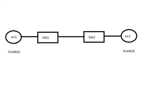
In Packet Tracer simulator I created following and testing ping from PC1 to PC2.
So pinging from 20.0.0.1 to 21.0.0.2 is timing out. But, if I set IP of PC1 to 21.0.0.1 then it is successful. Why? Please, explain.