Skimmianine
Names
Preferred IUPAC name
4,7,8-Trimethoxyfuro[2,3-b]quinoline
Other names
Skimmianin; β-Fagarine; Chloroxylonine
Identifiers
3D model (JSmol)
UNII
  • COC1=C(C2=C(C=C1)C(=C3C=COC3=N2)OC)OC
Properties
C14H13NO4
Molar mass 259.261 g·mol−1
Melting point 177 °C (351 °F; 450 K)[1]
Except where otherwise noted, data are given for materials in their standard state (at 25 °C [77 °F], 100 kPa).
Infobox references

Skimmianine is a furoquinoline alkaloid found in Skimmia japonica, a flowering plant in family Rutaceae that is native to Japan and China. It is also a strong acetylcholinesterase (AChE) inhibitor.[2]

Biosynthesis

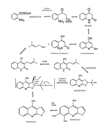
The biosynthesis of skimmianine starts from anthranilic acid,[3] which is very abundant in the family Rutaceae. By combining anthranilic acid acetate, anthraniloyl-CoA is formed as a starting unit and able to extend side chain by adding malonyl-CoA by Claisen condensation. Next, lactam is formed through the cyclization and generate a heterocyclic system, leading the dienol tautomer adopt the 4-hydroxy quinolone tautomer, which is 4-hydroxy-2-quinolone.

With the formation of quinolone, alkylation is happening at C-3 position by introducing dimethylallyl diphosphate. Another key step is the cyclization on the dimethylallyl sidechain, forming a new heterocyclic five-member-ring.[4] Platydesmine is then forming an intermediate through the oxidative cleavage reaction[5] by losing an isopropyl group to form dictamine. Finally, skimmianine is formed through the hydroxylation of dictamine.

Biosynthesis of skimmianine

References

  1. "Chemistry Dashboard". comptox.epa.gov. Retrieved 2019-06-10.
  2. Yang, Zhong-duo; Zhang, Dong-bo; Ren, Jin; Yang, Ming-jun (2012). "Skimmianine, a furoquinoline alkaloid from Zanthoxylum nitidum as a potential acetylcholinesterase inhibitor". Medicinal Chemistry Research. 21 (6): 722–725. doi:10.1007/s00044-011-9581-9. S2CID 14113860.
  3. "Compounds Derived from Anthranilic Acid". Alkaloids. 2015. pp. 163–180. doi:10.1016/B978-0-12-417302-6.00009-X. ISBN 9780124173026.
  4. Manske, R. H. (1960). The alkaloids: Chemistry and physiology. New York: Academic Press.
  5. Guengerich, F. Peter; Yoshimoto, Francis K. (2018). "Formation and Cleavage of C–C Bonds by Enzymatic Oxidation–Reduction Reactions". Chemical Reviews. 118 (14): 6573–6655. doi:10.1021/acs.chemrev.8b00031. PMC 6339258. PMID 29932643.
This article is issued from Wikipedia. The text is licensed under Creative Commons - Attribution - Sharealike. Additional terms may apply for the media files.