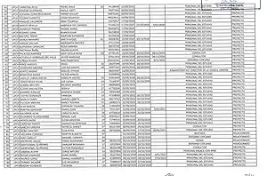
Page 2 of the list of the irregularly vaccinated, where the names of Martín Vizcarra (line 81) and Maribel Díaz Cabello (line 82) appear

Vacunagate (from vacuna (the Spanish word for "vaccine") and the suffix -gate; translatable into English as Vaccinegate) refers to a scandal in Peru over the secret COVID-19 vaccination of 487 people, mainly senior officials of the Executive Power of Peru. The crisis began on February 10, 2021, with the revelation that in October 2020 a coronavirus vaccine intended for Phase III of the Sinopharm clinical trials was secretly given to then-President Martín Vizcarra.[1][2][3]

Of the research teams at the two universities in charge of the study,[4] the receipt and administration of the Sinopharm study vaccines, as well as the irregular order of 3,200 additional doses outside the clinical study, was given at the request of the medical researchers Germán Málaga and Hugo García Lescano, leader and coordinator of the research team of the Cayetano Heredia University[5] who would have facilitated access to vaccines for senior officials, family members, and various people outside the volunteers at their headquarters of the clinical study and the direct personnel involved in it.[6] The actions were aggravated when it was discovered that Germán Málaga administered three doses to 40 people at his headquarters, including himself and a deputy minister, irregularly and without written consent.[7] Various university authorities vaccinated irregularly, including the rector and vice-rector, resigned as a result of the scandal. Finally, the National Institute of Health of Peru indicated the departure of the principal investigator responsible, and suspended the Cayetano Heredia University as the center for conducting new clinical trials.[8][9]

Presidential candidate and economist Hernando de Soto Polar was also irregularly vaccinated. He initially denied an allegation of him being involved in the scandal, but it was exposed that he had flown illegally twice to the United States. De Soto was also detained for violating curfew and campaigning rules, and for being involved in Vacunagate on April 6, but was released the next day.[10]

The inoculation of vaccines would have criminal consequences,[11] as high-ranking officials of the Government of Francisco Sagasti were vaccinated, such as the Minister of Foreign Affairs Elizabeth Astete, the Minister of Health Pilar Mazzetti,[3][12] the 2 Vice-Ministers of Health,[13] and senior officials of the Foreign Ministry in the midst of negotiations with the Sinopharm laboratory for the acquisition of vaccines. Among the vaccinated officials, there are 8 members of the negotiating committee, who received the vaccine before and after the purchase process.[14]

See also

References

  1. "Sinopharm entregó 3,200 dosis extra de vacuna y no 2,000 para personal relacionado al ensayo clínico". Gestión (in Spanish). Lima: Empresa Editora Gestión. February 15, 2021. Retrieved March 26, 2021.
  2. Hidalgo, Martín (February 17, 2021). "'Vacunagate': Estas son las 487 personas que recibieron la vacuna Sinopharm". El Comercio (in Spanish). Lima: Grupo El Comercio. Retrieved March 26, 2021.
  3. 1 2 Long, Gideon (February 18, 2021). "Peru's political elite ensnared in 'Vacuna-gate' scandal". Financial Times. The Financial Times Limited. Retrieved March 26, 2021.
  4. Aguilar, Roger (September 4, 2020). "German Málaga: a los seis meses de iniciado el ensayo clínico se puede decidir la producción de la vacuna". El Comercio (in Spanish). Lima: Grupo El Comercio. Retrieved March 26, 2021.
  5. Chávez, Claudia; Castro, Aramís; Chávez, Rosa (February 15, 2021). "Vacunas secretas: los responsables de las dosis para médicos y funcionarios fuera del ensayo". Ojo Público (in Spanish). Retrieved March 26, 2021.
  6. "Las razones de Germán Málaga para 'vacunar' contra COVID a 'consultores' o 'entorno cercano'". Gestión (in Spanish). Lima: Empresa Editora Gestión. February 17, 2021. Retrieved March 26, 2021.
  7. "Málaga admite que aplicar tres dosis de la vacuna fue irregular: "Lo reconozco, yo estoy incluido"". El Comercio (in Spanish). Lima: Grupo El Comercio. February 17, 2021. Retrieved March 26, 2021.
  8. "'Vacunagate': INS suspende a la UPCH como centro de realización de nuevos ensayos clínicos". El Comercio (in Spanish). Lima: Grupo El Comercio. February 19, 2021. Retrieved March 26, 2021.
  9. Kenyon, Georgina (2021). "Vacuna-gate escalates in Peru". The Lancet. Elsevier. 21 (4): 463. doi:10.1016/S1473-3099(21)00157-2. PMC 7990489. PMID 33773129.
  10. "Hernando de Soto sobre su vacunación en EE.UU.: Yo no le he tomado su cuota a ningún peruano". CNN en Español (in Spanish). 6 April 2021. Retrieved 23 August 2021.
  11. "Fiscalía inicia investigación a Vizcarra por aprovechamiento indebido del cargo". Andina (in Spanish). Lima: Editora Perú. February 15, 2021. Retrieved March 26, 2021.
  12. "Peru's President confirms 487 got vaccinated outside trials, including public officials". Andina. Lima: Editora Perú. February 15, 2021. Retrieved March 26, 2021.
  13. "Ugarte: Viceministros informaron a Pilar Mazzetti sobre vacunaciones con dosis de Sinopharm" (in Spanish). Canal N. February 15, 2021. Retrieved March 26, 2021.
  14. Castañeda, Giovanna (February 17, 2021). "Ocho miembros de la comisión que negoció con Sinopharm se vacunaron antes y después del acuerdo de compra". El Comercio (in Spanish). Lima: Grupo El Comercio. Retrieved March 26, 2021.
This article is issued from Wikipedia. The text is licensed under Creative Commons - Attribution - Sharealike. Additional terms may apply for the media files.